设为J9集团技术加入收藏联系我们
欢迎光临J9集团技术 仪表(上海)有限公司官方网站!您是第3135位访问者

当前位置:产品中心  >  蒸汽流量计  > 蒸汽流量计

蒸汽流量计

蒸汽流量计
型    号:DVS
品    牌:J9集团技术 仪表
所属分类:蒸汽流量计
所 在 地:上海
更新日期:2017.04.07 12:00:59
分享到: 4

主要用于蒸汽的瞬时流量和累计流量的测量。


 

蒸汽,亦称“”。 根据压力和温度对各种蒸汽的分类为:饱和蒸汽,过热蒸汽。蒸汽主要用途有加热/加湿;还可以产生动力;作为机器驱动等。

 


 

 

 

对于蒸汽的利用,在实际工况中都需要进行计量,那么测量蒸汽的流量计有哪些呢?

 


 

蒸汽流量计--涡街式蒸汽流量计

涡街式蒸汽流量计优势:

★ 结构简单,牢固、维护方便,无需导压管、三阀组等部件,减少泄露、堵塞和冻结等;

★ 精确度高,一般为1-1.5 %;

★ 测量量程宽,选对对应口径,一般可以达到20:1 ;

★ 压损小,约为节流型差压流量计 的 1/4 ~ 1/2 ;

★ 输出与流量成正比的脉冲信号,无零点漂移 ;

★ 在一定雷诺数范围内,输出频率不受流体物理性质(密度、粘度和组成)的影响,即仪表系数只与漩涡发生体、管道的形状和尺寸有关。

涡街式蒸汽流量计局限性:

★ 对管道机械振动比较敏感,不易用于强振动场所;

★ 口径越大,分辨率越低,一般满管流量时,口径只做到DN300以下;

★ 流体温度太高时,测量还是有困难,一般温度低于330 °C;

★ 当流体有压力脉动或流量脉动时,市值大幅度偏高,影响较大,因此不适用于脉动流。

 

常用型号:

 涡街流量计  DVS-DS50F21O  
型号注解:涡街流量计中温型,介质为蒸汽,DN50,表体材质为304不锈钢,介质温度:250度,额定压力1.6MPa;脉冲输出,无显示,24V供电,配套碳钢安装法兰、螺栓螺母等紧固件,夹持式安装。

配套二次仪表:DQ2100   智能流量积算仪,中文液晶显示瞬时流量和累计流量,具有稳压补偿功能。

(智能流量积算仪详细介绍://grg1995.com/chanpin/detail/126

配套压力变送器:DQ805   进行压力补偿。

配套热电阻: PT100   进行温度补偿。

一整套配置: 涡街流量计+流量积算仪+压力变送器+热电阻   (也可以根据需要单独选择温度补偿或压力补偿或者无补偿)

 流量计价格随选型规格、口径、配置变化影响,不是一口价产品,需要根据您的工况选型报价.

 


 

主要技术指标

涡街式蒸汽流量计分体式安装示意图

 

 涡街式蒸汽流量计,也可以选择在线稳压补偿型:

在线补偿型涡街流量计大口径

在线补偿型涡街流量计小口径

涡街式蒸汽流量计直接显示型电池供电或24V供电:

直接显示型涡街蒸汽流量计螺纹连接显示型

涡街式蒸汽流量计温度>250°C 低于330°C:

高温型涡街蒸汽流量计

涡街式蒸汽流量计(>DN300)插入式:

插入式涡街蒸汽流量计


选型需要明确以下工作参数:

(1)被测介质的名称、组份

(2)工作状态的最小、常用最大流量

(3)介质的最低、常用、最高压力和温度

(4)管道口径、材质等。

选型举例:已知蒸汽压力和温度及工况流量时

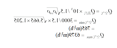
测量介质为过热蒸汽,蒸汽温度为320℃,压力为1.5MPa(绝压),流量范围为3t/h~25t/h, 试 确定流量计口径。

步骤一:计算蒸汽的等效空气参比条件下的体积流量范围,经查附表(二),该状态下蒸汽的密度为:5.665Kg/m3,由公式(8) :

 

步骤二:根据等效参比流量范围765-6379m3/h,查表(二),比较适合该流量范围为DN200口径。

 

 

                 涡街流量计网页详细介绍://grg1995.com/chanpin/detail/34

 安装方式以及使用说明书下载://grg1995.com/xiazai/detail/119

 使用常见故障以及排除方法:

 

 


 

蒸汽流量计--差压式蒸汽流量计

差压式蒸汽流量计有多种:、V锥流量计、平衡流量计、喷嘴流量计、德尔塔巴流量计等多种,各有各的优势。

差压式蒸汽流量计优势:

★ 节流式差压流量计中的标准孔板结构简单,易于复制,简单牢固,性能稳定可靠,价格低廉,无需校准就可使用,这是最大的优势;

★ 使用范围广泛,即使用于单相流体,也使用于 部分混相流:汽固、汽液、固液 等;

★ 高温、高压、大口径和小流量场合 使用佼佼者;

★ 对振动不敏感,抗干扰能力强。

 

差压式蒸汽流量计(多以喷嘴、德尔塔巴类)局限性:

★ 测量精度在流量计中属于中等水平,由于众多因素影响,精度难以提高;

★ 范围度窄,由于仪表差压信号与流量是平方关系,一般范围仅在3:1 ~ 4:1 ;

★  现场安装条件要求较高,一般要求较长的直管段(指孔板、喷嘴等),现场难以满足;

★ 节流装置与差压仪表之间的连接管线为薄弱环节,易产生泄露、堵塞、冻结或者信号失真等情况;

★ 最近几年发展起来的一体化差压式流量计(如V锥流量计、一体化孔板流量计等)大大缩短了引压管线,减少了这方面缺陷;

★ 压损大。(指孔板、喷嘴)

差压式蒸汽流量计中,V锥流量计的应用,克服了差压类流量计的诸多缺陷,可以说是差压类流量计中的佼佼者。这里举例说明V锥蒸汽流量计。

V型锥蒸汽流量计优势:

★ 精度高:+-0.5%,当定制β<0.55的V锥体时,***高精度可达+-0.1%

★ 重复性好:0.1%

★ 输出差压稳定:V锥体尾部负压端波动小

★ 具有自整流功能:可测混相流

★ 具有自清扫功能:无杂物滞留,适用于脏污流测量

★ 长期稳定性好:流体被逐渐收缩到管道内边壁,对V锥体磨损小

★ 可测高温流体:<850℃,其它流量计很难测量这样高温度的流体

★ 测量下限低:输出差压***小值25Pa

★ 量程比宽:可达10:1~50:1

★ 永久压损小:只有孔板的1/3~1/2

常用型号推荐DQZ-A500B16SRFWGB,

说明:公称通径DN500,介质:蒸汽,流量:(待提供),温度:250℃,中温型,额定压力:1.6kpa,,准确度等级:±0.5%,重复性:0.1%。材质:表体和法兰为20#碳钢,V锥锥体为304不锈钢,附件含:材质为304的三阀组一个,针型阀二个,引压管组件二根。

配件:差压变送器、流量积算仪

蒸汽V锥流量计选型所需参数:

1.介质名称

2.管道口径、材质

3.正常工作流量、最大流量和最小流量

4.正常工作压力、最高工作压力

5.正常工作温度、最高温度、最低温度

6.流体工作密度或标况密度

7.各混合流体的体积百分比

注明:V锥流量计是根据客户报过来的数据进行专门设计的,因此上述参数是制造厂在生产之前进行详细计算的基础,没有这些参数,很难制作一台符合用户要求的V锥流量计。制造厂根据上述参数,计算出V锥流量传感器的差压值(差压变送器的量程范围)。这些工作是在制造厂有专业工程师进行计算完成的。

 

技术参数:

 精度等级:0.5级
★ 工作压力:0-40Mpa
★ 工作温度:-40-850℃  量程比在10:1到 50:1之间
★ 环境温度:-30-60℃
★ 管道内径:6-3000mm
★ 输出信号:4-20mA

 供电电压:24V DC
★ 适用介质:几乎适用于所有气体、液体、蒸汽介质

产品结构材料材质

部件名称

材质

测量管和法兰

304不锈钢、20#钢、其它

V锥体和连接附件

304不锈钢、双向钢

取压口

304不锈钢、316不锈钢

三阀组(附件,可选)

304不锈钢、316不锈钢

引压管(附件,可选)

304不锈钢、316不锈钢

冷凝罐(附件,可选)

304不锈钢

排污阀(附件,可选)

304不锈钢、316不锈钢

       外表涂层

传感器测量材质

外表涂层

全不锈钢

喷不锈钢砂

测量管为碳钢

银灰色环氧树脂漆

        防爆等级(差压变送器):隔爆、本安、不防爆可供选择

        供电电源(差压变送器):12-24VDC

        输出信号(差压变送器):4-20mA或HART协议

        显示及输出

 

变送器

现场显示

配多参变送器

瞬时流量、累积流量

配差压变送器

与差压范围相对应的4-20mA电流值

配差压变送器加积算仪

瞬时流量、累积流量

         

样品展示:

 

                                                             差压式V锥流量计  孔板流量计

                                                                     差压式 平衡流量计

 

 

对差压引出管路的要求

★  引压管路的内径与管路长度和介质脏污程度有关,通常在25米以内用内径为8-12mm的管子。测量煤气可适当加粗到DN15。

★  测量液体流量时引压管水平段应在同一水平面内。若是在垂直管道上安装节流件,引压短管之间相距一定的距离(垂线方向),这对差压变送器的零点有影响,应通过“零点迁移”来校正。

★  引压管路应有牢固的支架托承,两根取压管路应尽可能互相靠近并远离热源或震动源,测量水蒸汽流量时,应用保温材料一同包扎,必须时(如气温0℃以下)加伴热管防止结冰。在测量脏污流量时,应附设隔离器或沉降器。

★  引压管路内必须始终保持单相流体状态。被测流体是气体时,引压管路(包括差压计的压力腔)内全部是气相;被测流体是液体时,引压管路内全部是液相,绝对不能有气泡。为此应在引压管路的最低点装排水阀或在最高点装排气阀,在新装或检修差压仪表时应特别注意。

安装最基本要求:

 对于新设管路系统,必须先经吹扫管道后再安装节流装置。

 安装前应仔细核对节流装置的编号、位号、规格是否与管道口径、流量范围、温度、压力等参数相符。在取压口附近标有“+”的一端应与流体上游管段联接,标有“—”的一端应与流体下游管段连接。

 节流装置的中心线应当与管道中心线同轴。

 对管道的要求:

1节流装置前后应配有一段测量管,至少保持前10D、后5D的等径直管段,以保证测量精度。

2在节流件前后若需安装阀门,最好选闸阀且在运行中全开;调节阀则应在下游5D之后的管路中。

 

关于V锥流量计详细网页介绍://grg1995.com/chanpin/detail/130

关于孔板流量计详细网页介绍://grg1995.com/chanpin/detail/133

 

 


 

 售后与质保   

供应的所有产品:

所有产品质保2年;

免费提供电话咨询、指导安装调试等服务;

协商上门指导安装、调试等事宜,只收取合理的差旅费用;

量大可以免费上门指导安装、调试;


服务宗旨:不管产品使用多长时间,只要您找到我们,我们都会为您解决所有问题,直到满意为止。相信我们从事行业10多年的实践经验能为你带来满意的服务。

 

 

 

关注&咨询
J9集团技术 仪表

QQ咨询
新浪微博
微信公众号
需要帮助